China Meteorological Administration
Login
WORLD METEOROLOGICAL CENTRE BEIJING
Global Monitoring, Global Forecasting and Global Services
Home
Products
Category
Monitoring
Satellite Images
Reanalysis
Weather Analysis
Climate indices
Models
Weather Models
Climate Model
Verification
FengQing Model
S2S Models
Forecasts
TCs text
TCs track and intensity
MAZU
Weather bulletin
Activities
Events & News
Training
Events
News
Publications
About
Weather · Climate ·Water
Home
Products
Models
Verification
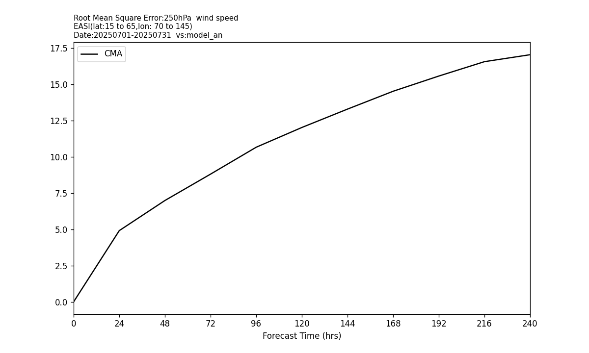
Wind
Upper level mean
RMSE
250hPa
EASI
Weather Models
Climate Model
Verification
FengQing Model
S2S Models
Parameters
Geopotential Height
Temperature
Wind
Charts
Upper level time series
Upper level mean
Score
ACC
RMSE
Level
850hPa
500hPa
250hPa
Region
EASI
NHEM
SHEM
TROP
Base time
(UTC)
Thu 30 Apr 12:00
Forecast time
240
National Meteorological Centre Copyright © 2018-2020 Beijing ICP 05055842
Total visits in 2025: 35,00